Чемпионат   Европы

Минск, Беларусь, 2-11 апреля 2010г.

Обсуждение в форуме: Начало   Продолжение-1  Продолжение-2
Официальный сайт: http://bwu.by/
Расписание: здесь
Стартовые листы: здесь
Фоторепортаж форумчан из Минска

13 апреля 2010г. Цитата из сообщения Агенства спортивной информации "Весь Спорт", которое потом разнесли все СМИ: "Сборная России по тяжелой атлетике выиграла чемпионат Европы в общекомандном зачете; женская команда – первая, мужская – третья": http://www.allsportinfo.ru/index.php?id=39576  . Это вранье! Мужская сборная заняла пятое место. Непонятно, кому и зачем понадобилась эта брехня.


Кубок, врученный мужской сборной России.

13 апреля 2010г. Юрий Сандалов заявил, что Ригерта надо менять. Похоже, что главным итогом этого чемпионата Европы станут перемены в тренерском штабе мужской сборной России. Читайте здесь:  http://wsport.free.fr/2010/Avril/Sandalov_Yury.htm .

12 апреля 2010г. При трансфере сборной России с банкета на вокзал, два мощных парня (на фото) спросили у меня:

- Cергей, а шатойский сайт, это ты?

- Нет, это шатойский Мовлади из Ниццы и все мы вместе! - ответил я.

- А мы там частенько бываем, там нас вы ругаете - cказали богатыри.

- Нет ребята, там вас все любят и желают вам успеха, и успехов всей тяжелой атлетике, а иногда ругаем, потому что мало информации доходит до нас из сборной, регистрируйтесь и участвуйте в пропаганде тяжелой атлетики, и вас все поклонники тяжелой атлетики будут любить ещё больше!

- Здорово! - сказали богатыри. - А можешь нас сфотографировать с медалями и разместить фото на сайте?

- Да я сам вас без этого фото не выпущу из автобуса, а фото уже завтра будет на сайте!

- Ура! - cказали богатыри Евгений и Дмитрий.

- А можно и нас на сайт? - закричали все в автобусе.

Наш форумчанин Сергей Макаров из Минска.

Ребята, мы, действительно, частенько ругаем вас. Но, не со зла, поверьте. А потому что хотим, чтобы вы были самыми сильными.

12 апреля 2010г. Сборная России по тяжелой атлетике выиграла чемпионат Европы в общекомандном зачете; женская команда – первая, мужская – третья. В Минске завершился чемпионат Европы по тяжелой атлетике. Сборная России победила в общекомандном медальном зачете, завоевав девять наград в двоеборье – четыре золота, четыре серебра и одну бронзу. В первую пятерку вошли также команды Турции (4-0-2), Белоруссии (3-0-5), Армении (2-4-1) и Польши (1-2-1).

Женская сборная России показала лучший результат (3-2-0), опередив соперниц из Турции (3-0-1) и Белоруссии (1-0-3). Победы одержали Наталья Заболотная (до 75 кг), Оксана Сливенко (до 69 кг) и Татьяна Каширина (свыше 75 кг). Серебряными призерами стали Светлана Царукаева (до 63 кг) и Надежда Евстюхина (до 75 кг).

Мужская сборная России выступила гораздо менее удачно. В ее двоеборном активе одно золото, два серебра и одна бронза, в пассиве – третье место в общекомандном зачете. Лучшей мужской командой чемпионата стала Армения (2-3-0), второй – Белоруссия (2-0-2). Единственное российское золото в мужской команде завоевал Евгений Чигишев (свыше 105 кг). Серебро выиграли Михаил Гобеев (до 69 кг) и Дмитрий Клоков (до 105 кг), бронзу – Владимир Сморчков (до 105 кг).

 http://www.allsportinfo.ru

11 апреля 2010г. Весовая категория свыше 105 кг. Мужчины. Ну, вот и пришел запоздалый праздник на улицу российской мужской сборной. Супертяжеловес Евгений Чигишев поднялся на высшую ступеньку пьедестала почета! Долгое время этому атлету не везло. То Виктор Щербатис из Латвии не давал ему взять "золото" европейских и мировых чемпионатов, то немец Маттиас Штайнер отобрал уже лежавшую в кармане золотую медаль Олимпиады. Но, этот мужественный атлет упорно шел к своей цели и, в конце концов, достиг ее, пока на европейском помосте.

В сверхтяжелой категории российские тренеры заявили двух участников. Кроме Чигишева, на помост должен был выйти еще Евгений Писарев. Но, на этом чемпионате российскую команду поразила просто эпидемия травм. Писарев появился на церемонии представления атлетов, но на помост не вышел - травма поясницы. Также, во втором упражнении травмировался и Евгений Чигишев!

Рывок наш атлет провел беупречно, три подхода и есть в активе 205 кг. Отстав на 10 кг, на втором месте закрепился армянский тяжелоатлет Рубен Алексанян. А триумфатор Пекинской Олимпиады Маттиас Штайнер остался далеко позади - 190 кг.

В толчке Евгений начинает 235 кг. Была надежда, что немного поправившийся Чигишев, который до этого никак не мог набрать собственный вес хотя бы до 130 кг, также увеличит и толчок. Но, травма бедра не позволяет ему толкнуть даже 240 кг во втором подходе. Более того, он вынужден отказаться от третьей попытки.

Воспрянув духом, соперники Чигишева пытаются воспользоваться данным шансом. Алексанян заказывает 246 кг, а Штайнер, вспомнив счастливые китайские дни, заявляет 251 кг. Для российских болельщиков это были трудные минуты. Но судьба в этот раз была благосклонна к Чигишеву. Попытки соперников обойти его были неудачны и российский атлет становится чемпионом Европы!

Начиная с 1960-го года и до самого XXI века советские и российские супертяжеловесы доминировали в самой престижной категории. Последние 10 лет эти позиции были утеряны. Надеемся, что с успеха Евгения Чигишева начнется возрождение той славной традиции.


Евгений Чигишев

Форумчане нашего сайта поздравляют чемпиона

Рубен Алексанян

Маттиас Штайнер

Евгений Писарев на представлении

11 апреля 2010г. Весовая категория 105 кг. Мужчины. Категорию, где у российской команды всегда имелись в обойме сильные атлеты, на этот раз представляли Дмитрий Клоков и Владимир Сморчков. Главным их соперником был хозяин помоста Андрей Арямнов. Для олимпийского чемпиона Пекина-08 этот выход на помост имел особое значение. Попав в прошлом году в скандальную историю с управлением автомобиля в нетрезвом виде, он был дисквалифицирован национальной Федерацией и лишен президентской стипендии. Так что, этот первый международный старт после той неприятной истории был для Арямнова шансом реабилитации перед земляками. И он, естественно, усиленно готовился к этому чемпионату. Многочисленные видео-ролики с тренировок, размещенные в интернете показывали, что Андрей готов к мировым рекордам. Это он и сам потвердил в одном из интервью накануне чемпионата.

Вся эта ситуация, конечно, не могла радовать его основных соперников - Дмитрия Клокова и Владимира Сморчкова, но они в любом случае собирались дать бой лидеру. К тому же сам Арямнов дал им небольшой шанс. Как сообщили наши друзья из Белоруссии, Андрей за два дня согнал 6 кг и на помосте выглядел вялым. В таких случаях обычно резко сдает толчок, что и было видно по заявочным весам Арямнова, в рывке начинал почти с предела - 195 кг, а в толчке намного меньше своего лучшего результата - 220 кг.

Однако, Дмитрий Клоков, который выступал с травмой плеча, смог использовать только один подход в рывке 185 кг. Слишком большое отставание в рывке не позволит ему чуть позже бороться с Арямновым за лидерство. Владимир Сморчков отлично отработал в первом упражнении, три выполненные попытки и конечный результат 193 кг. Но, из-за слабого толчка он вряд ли мог составить конкуренцию Арямнову. Так и случилось, Владимир едва избежал "баранки", толкнув 215 кг только с третьего подхода. Ну, а сам Арямнов, сделав первый подход на 195 кг, пытался затем выполнить свои предсоревновательные обещания. Но рекорд мира - 201 кг ему дважды не покорился.

В толчке молодцом показал себя Клоков. Первый подход он сделал на 217 кг, во втором толкнул 224 и обошел Сморчкова. Если бы не слишком большой проигрыш Арямнову в рывке, несомненно Дмитрий поборолся бы с ним за "золото". Но в данном случае это было нереально и он отказался от третьей попытки.

Арямнов начал 220 кг и сразу бросалось в глаза, чтто с ним что-то не в порядке. После подъема он уходил с заплетающимися ногами и даже качнулся, будто в спину стрельнуло. Потом уже стало известно о большой сгонке веса. Тем не менее, он вышел для второго подхода и толкнул 225 кг, чтобы лишить Клокова любой возможности отыграться. А от третьей попытки также отказался.

В итоге, если судить строго по занятым местам, никаких сюрпризов не произошло. Большинство любителей тяжелой атлетики были убеждены, что Арямнов будет чемпионом. И закономерно за ним разместились Клоков и Сморчков.     


Андрей Арямнов

Дмитрий Клоков готовится к разминке. Фото форумчанина сайта Олега Матвейкина

Дмитрий Клоков

Владимир Сморчков

10 апреля 2010г. Весовая категория свыше 75 кг. Женщины. Супертяжелая категория у женщин преподнесла сюрприз еще до начала состязаний. Украинская тяжелоатлетка Ольга Коробка потянула на весах аж 170 (!) кг. У наших форумчан вызвало подозрение - почему вес был равен точно 170 кг, ни грамма больше, ни грамма меньше. И было высказано предположение, что весы не были расчитаны на большее и пришлось записать максимальное значение. Это всё шутки, но, кажется Ольга установила абсолютный рекорд среди женщин-тяжелоатлеток по собственным габаритам. Что там женщины, и среди мужчин таких гигантов можно сосчитать по пальцам.

Другим выдающимся моментом этих соревнований можно назвать то, что самая молодая участница сверхтяжелого веса, 19-летняя россиянка Татьяна Каширина была на голову сильнее соперниц. Ближе всех к ней подобралась та же Ольга Коробка, но ни о какой конкуренции тут даже речи не было. Татьяна безукоризненно прошла рывок, использовав все попытки и закончила с результатом 135 кг. Коробка остановилась на 123 кг. В толчке украинская спортсменка не стала особо напрягаться, подняла во второй попытке 150 кг и отказалась от третьего подхода. А Каширина в гордом одиночестве заканчивала соревнования. Во втором подходе зафиксированы 162 кг. В третьем она попыталась установить рекорд Европы - 170 кг и даже зацепила этот вес на грудь, но не смогла встать. Тем не менее, замечательная победа талантливой девушки завершила отличное выступление женской сборной России!


Татьяна Каширина

Ольга Коробка

10 апреля 2010г. Весовая категория 94 кг. Мужчины. Очень большие надежды возлагали российские болельщики на Хаджимурата Аккаева. И не зря. Он, действительно, был хорошо подготовлен и даже по первым заявочным весам уже смотрелся как чемпион Европы. Но, судьба-злодейка, никогда не знаешь, где ждать от нее подвох.

По сообщению одного из участников форума нашего сайта, тесно связанного со сборной России, в последнем разминочном подходе на 175 кг Хаджимурат получил травму - растяжение мышцы паха. Разумеется, разгоряченный атлет, который ехал в Минск исключительно за золотой медалью, не отказался от выхода на помост и сделал все, что мог в этой ситуации. Но, увы, поднять заявленные 180 кг ему так и не удалось. Обидно, конечно, но на этом жизнь (спортивная) не кончается. Желаем Хаджимурату скорейшего выздоровления и возвращения на помост.

После того, как сошел с дистанции главный претендент на победу, борьбу за титул чемпиона повели Ровшан Фатуллаев из Азербайджана и новоиспеченный поляк Арсен Касабиев, который, если помните, в недалеком прошлом выступал за сборную Грузии. В рывке они проиграли Артему Иванову с Украины, который справился с весом 180 кг. Касабиев был на втором месте с 176 кг, а Фатуллаев на третьем с 175 кг. Но в толчке Иванов явно уступал этим двум атлетам и подняв 203 кг довольствовался бронзовой медалью.

А борьба за лидерство выдалась интересной. Первым ход сделал азербайджанец, толкнув 210 кг. Касабиев ответил - 211 кг. Фатуллаев делает рывок вперед - 215 кг. Поляк, который вначале заявил для второй попытки 220 кг, решил не рисковать, сбавил до 216 кг и, толкнув этот вес, вновь вышел вперед. Последняя попытка представителя Азербайджана опередить Касабиева на 217 кг была неудачной. Первый старт Арсена Касабиева за сборную Польши оказался весьма удачным - он чемпион Европы!  


Арсен Касабиев

Равшан Фатуллаев

Хаджимурат Аккаев

10 апреля 2010г. Весовая категория 75 кг. Женщины. Ну вот и сборная России нанесла мощный удар. Две участницы этой категории - Наталья Заболотная (которую в протоколе почему-то окрестили Светланой) и Надежда Евстюхина не оставили соперницам сомнений в своем превосходстве.

Обе российские  спортсменки как по нотам провели рывок. Все удачные попытки и Заболотная выходит вперед - 129 кг, за ней Евстюхина - 127. На третьем месте закрепилась армянская спортсменка Рипсиме Хуршудян - 122 кг.

В толчке уже первые заявочные веса россиянок оставляли мало надежд соперницам, обе начали со 150 кг. Хуршудян тем временем толкнула 141 кг, обеспечила себе как минимум бронзовую медаль в сумме и ждала удачного стечения обстоятельств, чтобы вмешаться в борьбу россиянок. В первый раз она сделала это после того, как Заболотная и Евстюхина удачно стартовали со 150 кг. Хуршудян во второй попытке берет 151 кг, надеясь на "золото" в толчке. Но, Надежда толкает 155 кг, Наталья - 156 кг и российский тандем уже ведет борьбу между собой.

В этой ситуации тренеры сделали не очень понятный тактический ход. По простой логике Евстюхина должна была в третьем подходе идти на 158 кг, чтобы обойти Заболотную. Но, заказывается 161 кг (!), которые Надежда взять не смогла. Скорее всего, для тренеров не имело значения кто из них победит, главное, чтобы Хуршудян не вклинилась между россиянками. Этот замысел (если был таковой) удался. Армянская спортсменка попыталась в последнем подходе оттеснить Евстюхину, но 161 кг ей не покорились и она, как была изначально, так и осталась на третьем месте. А российская сборная празднует двойной успех - золотая медаль чемпионки Европы у Натальи Заболотной и серебряная у Надежды Евстюхиной.


Наталья Заболотная

Надежда Евстюхина

Рипсиме Хуршудян

9 апреля 2010г. Весовая категория 85 кг. Мужчины. Странно было наблюдать соревнования тяжелоатлетов этой весовой категории без российского атлета. Вроде в России есть штангисты, которые способны поднимать 370 кг в сумме двоеборья. Это как раз та сумма, которой, как выяснилось, было бы достаточно для золотой медали.

Начало соревнований средневесов говорило о том, что у хозяев чемпионата должно появиться еще одно золото. Микалай Новиков отлично исполнил три подхода в рывке и завершил со 171 кг, опередив армянский дуэт Хачатрян-Погосян на 6 кг. Спортсменам из Армении удалось сделать лишь по одному подходу на начальные 165 кг.

Но, в толчке ситуация резко поменялась. Новиков стартовал со 196 кг, а армяне вначале повели между собой борьбу за второе место. Хачатрян начинает 199 кг, Погосян его обходит - 200 кг. И тут белорусскому атлету дважды не покоряются 202 кг. Армянские спортсмены немедленно воспользовались этой ситуацией. Сначала Ара Хачатрян толкает 203 кг и выходит на первое место. Но недолго сохраняет лидерство, Погосян справляется с 204 кг. Хачатрян пытается вновь выйти вперед, однако в последней попытке не поднимает 205 кг и чемпионом Европы становится Геворик Погосян. Несколько неожиданный, но крупный успех армянской сборной, копилка которой пополнилась золотой и серебряной медалями.


Геворик Погосян

Ара Хачатрян

Микалай Новиков

Ара Хачатрян, Геворик Погосян, Микалай Новиков

9 апреля 2010г. Весовая категория 69 кг. Женщины. Ну, наконец-то, у сборной России появилось первое "золото"! Поздравляем и скажем спасибо Оксане Сливенко, которая на фоне весьма бледного выступления российской сборной, существенно подправила ее имидж.

Нынешняя золотая медаль чемпионки Европы далась Оксане очень тяжело. Пока неизвестно, что с ней было, но выглядела она совершенно измученной, скованной, осторожной в движениях. Впечатление, что у нее была травма или что-то болело. Вероятно, скоро узнаем об этом.

Известная армянская тяжелоатлетка Мелине Далузян ничуть не смутилась перед именитой соперницей и дала настоящий бой Сливенко. В рывке российская спортсменка опередила Далузян на 2 кг, зафиксировав в последней попытке 117 кг. На второй и третьей позиции расположились Далузян и спортсменка из Беларуси Шемшат Тюляева с одинаковым результатом 115 кг.

В толчке армянская спортсменка начинает со 135 кг. Сливенко не рискует и идет по следам - 136 кг. Во второй попытке Далузян справляется со 139 кг. У Оксаны, видимо, не осталось сил играть на опережение и она просто повторяет за армянкой ее веса - 139 кг. И тут Мелине Далузян творит нечто невообразимое. В третьем подходе идет ва-банк - 145 кг и, проявив незаурядные бойцовские качества, толкает этот вес!

В иные времена 145 кг не были большой проблемой для Сливенко, но в этот день они дались ей ценой героических усилий. Как бы то ни было, Оксана Сливенко в последнем подходе тоже толкнула этот вес и вышла на первое место. Поздравляем Оксану Сливенко и всех российских болельщиков с первым "золотом" на чемпионате Европы.

Вторая участница от российской сборной Татьяна Матвеева билась изо всех сил, стараясь зацепиться за призовое место. Но, она слишком много проиграла в рывке и не смогла отыграться в толчке. Татьяне пришлось довольствоваться 5-м местом.


Оксана Сливенко

Мелине Далузян

Шемшат Туляева

9 апреля 2010г. Турецкий врач спас белорусского штангиста. Ибрагим Янмис виртуозно вправил Геннадию Махвиене сложный вывих плеча.


Ибрагим Янмис в центре

На чемпионате Европы по тяжелой атлетике зрители стали свидетелями драмы в турнире штангистов, выступающих в категории до 62 кг.

В первом подходе Геннадий Махвиеня взял вес в 155 кг. Если бы ему удалось толкнуть во второй попытке 161 кг, то новополочанин гарантировал бы себе как минимум бронзовую медаль. Но вместо победного крика мы услышали вопль боли: едва атлет вытолкнул штангу, как она свалилась за его спину, а Геннадий рухнул на помост.

В сопровождении врача турецкой сборной Ибрагима Янмиса и бригады скорой помощи штангиста на носилках унесли с помоста минского Дворца спорта. Еще до отправки в больницу Янмис вправил вывих и врачи 6-й клиники очень высоко оценили работу турка.

- У Геннадия вывих плеча, есть и незначительные микронадрывы, - сказал «Комсомолке» тренер Виктор Шершуков.

- Почему вывих вправлял турецкий врач?

- Он очень сильный ортопед, имеющий свою практику. Мы с ним давно уже знакомы и прекрасно осведомлены о его профессионализме. В 1999-м году он вправил локоть Дербеневу, и с его легкой руки Виталий уже через полгода поднимал большие веса. Так что он нам помогает не в первый раз.

- Что дальше будет с Геннадием?

- Постараемся сделать все, чтобы восстановить его. Гена перспективный спортсмен, который очень нужен команде. Есть случаи, когда после таких травм устанавливали мировые рекорды, но есть и обратные примеры, когда атлетам приходилось заканчивать со спортом. Я думаю, что у нас все будет хорошо.

Тренеры рассказывают, что, подняв штангу, Геннадий уже стал улыбаться, почувствовал, что вот-вот ее зафиксирует, и тут железо буквально вывернуло плечо.

- Как самочувствие, Геннадий? -спросили мы у героя вечера.

- Отхожу потихоньку. Вроде бы можно будет обойтись без операции. Я даже не предполагал, что такое может произойти. Меня перекрутило: повело влево и правое плечо выбило. Больно - не то слово.

- Рукой двигаете?

- Стараюсь ее не нагружать, врачи советуют полный покой.

- Вес в 161 кг был для вас рекордным?

- Нет, поэтому и обидно. Хотел взять 161 кг, а потом и на больший вес пойти.

- Говорят, вас турок спас?

- Как только он мне вправил вывих, у меня сразу боль прошла. Сегодня поеду во Дворец спорта и отблагодарю его.

 http://kp.by

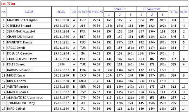
8 апреля 2010г. Весовая категория 77 кг. Мужчины. Долгое время мы привыкли видеть в этом весе О.Перепеченова и В.Луканина. И вот появилось новое имя. На чемпионате Европы в этой категории Россию представлял Дмитрий Иваненко. По словам главного тренера сборной Давида Ригерта, Иваненко заменил Луканина, который буквально накануне отъезда в Минск травмировал кисть. За неимением иных соревнований, предшествовавших чемпионату Европы и служивших в качестве отбора, приходится оперировать прошлогодним чемпионатом России. Так вот на том чемпионате первое место занял Луканин с результатом 350 кг (155+195). А вторым был Иваненко - 337 кг (155+182).

Сравнивая с теми результатами, можно сказать что Дмитрий выступил очень хорошо. В Минске он вырвал в третьем подходе 157 кг, а толчок начинал со 182-х. К сожалению, два последующих подхода на 186 кг были неудачными, но даже в случае успеха на этом весе, Иваненко не поднялся бы выше своего 5-го места. Так что тут приходиться констатировать, что результаты Дмитрия еще недостаточны для конкуренции на европейском уровне.

Безусловным лидером чемпионата в этой категории являлся Тигран Мартиросян из Армении. Легко вырвав во второй попытке 165 кг, он отказался от третьей. Это означало, что армянский атлет абсолютно уверен в себе и не пытается сделать большой задел в первом упражнении. В толчке так оно и было. Тигран вышел на помост, когда все соперники уже сошли с дистанции. Правда в первом подходе, легко швунганув 195 кг, он поспешил опустить штангу на помост до команды судьи и вес не был засчитан. Но, со второго раза все было идеально. В последнем подходе Мартиросян штурмовал 205 кг и даже взял вес на грудь, но большего добиться не сумел. Что, впрочем, уже не имело значения в этот вечер. Золотая медаль чемпиона Европы была в кармане.

На второе место вышел поляк Криштоф Шрамиак, отстав от лидера на 9 кг в сумме двоеборья - 160+191. Хотя последний его подход на 191 кг был выполнен не очень чисто, у судей в этот день, видимо, было хорошее настроение и вес засчитали.

Хозяин помоста белорус Микалай Черняк и его тренеры пережили несколько трудных минут. Эрканд Керимаж из Албании упорно пытался отобрать у Черняка бронзовую медаль. Дважды он брал на грудь 192 кг, но так и не толкнул от груди. Когда штанга упала в последний раз, в стане белорусской сборной за кулисами началось ликование, их копилка пополнилась "бронзой".


Криштоф Шрамиак и Тигран Мартиросян

Криштоф Шрамиак

Микалай Черняк

8 апреля 2010г. Весовая категория 63 кг. Женщины. Две опытные российские спортсменки - Светлана Царукаева и Марина Шаинова выступали в этой категории. Но, это был не российский день в Минске. Они обе проиграли. Светлана проиграла в борьбе за золотую медаль, а Марина - за бронзовую.

Начало соревнований вроде не предвещало грозы. Царукаева отлично выполнила рывок, использовала все попытки и завершила на 114 кг, опередив главную соперницу, турчанку Симсек на 4 кг. Шаинова также хорошо провела первое упражнение, закрепившись на третьем месте - 100 кг.

Неприятности начались во втором движении. Светлана стартовала со 125 и вышла в лидеры. Симсек осторожно толкнула 127 кг, обеспечив себе второе место. И тут случилась первая осечка, Царукаева не справляется со 130 кг и вынуждена подойти к этому весу еще раз. В третьем подходе она укротила 130 кг, но инициатива переходит в руки турчанки, у которой в запасе две попытки. И Симсек не упускает свой шанс, во втором подходе толкает 134 кг, сравнивается в сумме с российской спортсменкой и за счет меньшего собственного веса становится чемпионкой Европы. А в третьем подходе даже штурмовала, хоть и неудачно, рекорд Европы - 142 кг.

А чуть раньше, в упорной борьбе упускает бронзовую медаль Марина Шаинова. Она начала толчок со 120 кг. Румынка Кокос идет на опережение - 122 кг. Марина во втором подходе толкает 125. Но румынская спортсменка снова выходит вперед - 127. Последний подход Шаиновой на 130 был неудачен и она остается на четвертом месте, а окрыленная Кокос закрепляет успех - 130 кг.

Что-ж, спортивная фортуна в этот день отвернулась от российских спортсменок, но они бились достойно и заслуживают похвалы. Удачи в следующих стартах!


Сибель Симсек

Светлана Царукаева

В этой весовой категории выступала также форумчанка нашего сайта Марина Охман из Израиля. Она неплохо выполнила первое упражнение, использовав две попытки и завершила рывок с 88 кг. В толчке удался только начальный подход на 100 кг. В итоге Марина замкнула десятку сильнейших, что является не самым худшим результатом для такой нетяжелоатлетической страны, как Израиль. Поздравляем Марину с выступлением на чемпионате Европы! Удачи в дальнейших стартах!


Марина Охман

8 апреля 2010г. Виталий Дербенев: Всем спасибо!

— Виталий, после столь успешного выступления на минском помосте не пожалели, что решили вернуться?

— В спорт или в эту категорию?

— В спорт.

— Надеюсь еще выступить, потягаться с молодыми, если здоровье не подведет. Может, выдержу и к Олимпийским играм, но только уже в другой весовой категории — до 62 кг. Вы же сами видите, выдохся. Если в рывке еще что-то осталось, выполняю все уверенно, то в толчке все идет не так гладко. За восемь лет гонять вес уже устал. Прежде всего психологически, да и на организме отражается.

— Третья, победная, попытка во втором упражнении получилась эмоциональной. Что говорили судье?

— Выплеснул эмоции. Вроде бы зафиксировал штангу на положенные три секунды, но сигнала не видел. Многим даже здесь давали меньше времени, а меня немного придержали. Но, как оказалось, пропустил сигнал, как мне потом объяснили в зале. Хочу извиниться перед арбитром.

— У вас восемь чемпионатов Европы за плечами. Где легче выступать — дома или в гостях?

— Если откровенно, родные стены и желание не ударить лицом в грязь перед болельщиками меня сковывают. В Минск приехали из Могилева и представители родного училища, у меня даже небольшой мандраж. Тем более, когда пошла такая острая борьба за медали. Перед подходом зрители меня поддерживали. А я просил их создать тишину, не мог успокоиться и сосредоточиться.

— Соперники удивили?

— Не особо. Пропустил два последних чемпионата Европы, но изменений и новых имен немного. Только, может, Гогебуер добавил в толчке. Турок Седад Артук, мой извечный соперник, даже немного сдал. Возраст берет свое. Мы одногодки, так что я его очень хорошо понимаю. Интересно и нам, спортсменам, и болельщикам, когда много сильных соперников в категории.

— Сам процесс подготовки к чемпионату вымотал не меньше?

— Если взять сгонку веса, то непросто. Но у нас такой наставник, о котором много говорить не надо. Я пришел, мы поговорили с Гончаровым, и согласился потерпеть еще. После Олимпиады чувствовал себя не очень хорошо, плюс были некоторые недомолвки — не в личном, а в общем плане. Поэтому решил взять паузу, а затем вновь в зал.

— Планы на чемпионат мира?

— Пока сложно говорить. Если меня повезут в Турцию, то там я точно буду выступать в другой категории. Все-таки сил уже будет побольше, не надо так много сгонять лишних килограммов, но о медали я бы не стал говорить. Конкуренция со стороны азиатов очень высокая. Но за очки для Олимпиады постараюсь побороться. Это необходимо всей нашей сборной.

http://sportpanorama.by/

8 апреля 2010г. Валентина Ляховец: Я довольна своим результатом.

После награждения Валентина ЛЯХОВЕЦ, смущаясь, все же ответила на вопросы журналистов:

— Для меня это первый взрослый чемпионат Европы. Конечно, целенаправленно к нему готовилась. Однако дома очень тяжело выступать. Много волнуюсь, родные, друзья, надо хорошо выступить, не подвести и тренеров. Мелкая дрожь в руках осталась до сих пор.

— В перспективе можете стать самой сильной женщиной Беларуси?

— Это слишком громко. Хотя бы в своем весе справиться с конкурентами. Это касается не только нашей страны.

— Вы так неплохо отработали в рывке, но во втором упражнении упустили серебряную медаль.

— Я довольна и таким результатом. Болгарка тоже очень сильна, уверенно шла на каждую попытку. Неплохо получился рывок. Не могу сказать, что в толчке есть проблемы. Все-таки 111 кг, но соперницы оказались на данный момент сильнее. Будем продолжать работать с тренерами. Еще не раз придется выходить на помост, и постараемся добавить к будущим стартам.

— Три медали. Какие ощущения?

— Пока немного не верится, что на шее их полный комплект. Пускай нет золотой, но я рада. Надеюсь, для меня это только начало.

 http://sportpanorama.by/

7 апреля 2010г. Травма Геннадия Махвеени. Белорусский тяжелоатлет в категории до 62 кг Геннадий Махвееня получил серьезную травму плеча.

Как сообщил главный тренер национальной сборной Александр Гончаров, спортсмен находится в больнице и по предварительным обследованиям врачей травма не будет иметь серьезных последствий. Однако по сообщению в форуме наших друзей из Беларуси, может потребоваться операция. Желаем скорейшего выздоровления.

7 апреля 2010г. Весовая категория 69 кг. Мужчины. Первая медаль у сборной России. Чемпион страны прошлого года Михаил Гобеев достойно отработал на первом международном старте. Молодец, заслуживает самых лучших слов. Напомню, на чемпионате России он поднял: рывок - 135, 140, 143; толчок - 167, 172, 172. А в Минске улучшил свою сумму нна 9 кг, причем увеличил результаты как в рывке, так и в толчке. Если не сбавит темп, может попасть на чемпионат мира и поднять далеко не позорный результат.

Ну, а в целом особой борьбы в этой категории не было. Румын Микулеску, намного оторвавшись в рывке, первым же подходом в толчке обеспечил себе "золото". Турок Бинай, хоть и выиграл у Гобеева рывок, в толчке был явно слабее. Так что первые три призера мирно распределили между собой пьедестал.


Нинель Микулеску

Михаил Гобеев

7 апреля 2010г. Весовая категория 58 кг. Женщины. Белорусские болельщики ликовали. Белорусская спортсменка Настасья Новикова с огромным отрывом от соперниц стала чемпионкой Европы, попутно установив новый рекорд Старого Света в сумме двоеборья - 238 кг (105+133).

А борьба на помосте развернулась за серебряную медаль между Ромелой Бегаж из Албании и Мариетой Готфрид из Польши. Причем борьба велась по очень редко применяемой тяжелоатлетами тактике. Обе спортсменки вырвали по 96 кг и обе стартовали в толчке со 110 кг. Затем албанка, зная что ее соперница не очень сильна в толчке, поступила весьма необычно - во втором подходе добавила 1 кг и, толкнув 111 кг, вышла вперед. Готфрид идет на 113 кг и дважды не справляется. А Бегаж за ненадобностью отказалась от третьего подхода.


Настасья Новикова

Ромела Бегаж

Мариета Готфрид

6 апреля 2010г. Весовая категория 62 кг. Мужчины. Праздник в турецкой сборной пока продолжается. Эрол Билгин в рывке оторвался от ближайших соперников - беларуса Генадия Махвеени и своего соотечественника Бюньями Сезера на 3 кг. Однако в толчке не эти атлеты составили ему конкуренцию. Сезер, подняв 153 кг, затем дважды не справился со 161. А Махвееня, толкнув во втором подходе 161 кг, не смог их удержать. Плечи у него заиграли, штанга упала за голову, а сам атлет повалился лицом вниз на помост и не шевелился. Ассистенты тут же выстроили стенку вокруг него, закрывая от зрителей и камер. Возникла задержка на несколько минут. Видимо, Махвееня получил серьезную травму, так как от третьего подхода отказался.

А с лидером соревнований вступил в борьбу Антонио Бучи из Румынии. И был момент, когда казавшаяся уже в кармане турецкого атлета золотая медаль начала ускользать. Билгин толкнул 160 кг, Бучи со второго подхода берет 161. Турок во второй попытке не справляется со 165 кг, а Бучи отлично швунгует этот вес в глубокий сед и выходит вперед. К чести турецкого атлета, в последнем подходе он все-таки взял 165 кг и стал чемпионом Европы.

Появились первые плоды работы Янко Русева в Азербайджане.Зульфугар Сулейманов занял третье место и даже сделал попытку побороться за серебряную медаль. Но, тут выяснилось, что Русеву предстоит еще поработать над психологической подготовкой своих подопечных. Если во втором подходе Сулейманов взял 168 кг на грудь и не толкнул, то в третьем вышел на помост, взялся за штангу, но тут же отпустил ее и ушел за кулисы.


Антониу Бучи, Эрол Билгин, Зульфугар Сулейманов

Эрол Билгин

Антониу Бучи

Зульфугар Сулейманов

Олег Сирги

Бюньями Сезер

6 апреля 2010г. Весовая категория 53 кг. Женщины. Турецкая тяжелоатлетка Айлин Дазделен, так же как и ее подруга по команде Нуркан Тайлан, была на голову сильнее соперниц. Правда, в рывке она обошла Валентину Ляхавец из Беларуси всего на 1 кг, да и то в последнем подходе. Но, в толчке уже по первому заявочному весу - 110 кг, было видно что она никому не отдаст золотую медаль. Ляхавец боролась до конца и даже обошла ненадолго турчанку, толкнув 111 кг в заключительной попытке. Но, в итоге проиграла даже болгарке Боянке Костовой, которой в третьем подходе покорились 112 кг. А Дезделен, подняв во втором подходе 113 кг, обеспечила золотую медаль, а в третьей попытке установила рекорд Европы - 120 кг.


Айлин Дазделен

Боянка Костова

Валентина Ляхавец

5 апреля 2010г. Выступление мужчин весовой категории 56 кг вызывали повышенный интерес болельщиков тем, что впервые за многие годы в этом весе соревновался российский атлет. Желание тренеров сборной выставить, наконец-то, представителя в самом легком весе можно приветствовать, но этот атлет должен все-таки быть немного конкуретноспособным. И иметь перспективу хотя бы побороться за призовое место. В данном случае такого даже не предвиделось.

Арсен Тамразян в прошлом году на чемпионате России занял второе место, показав результат 108+136. Победитель Михаил Шевченко поднял тогда 114+137. После того чемпионата России никаких отборочных соревнований на нынешний чемпионат Европы не было. Тогда приходится оперировать цифрами чемпионата России-2009 и встает вопрос - почему в Минск поехал не чемпион М.Шевченко, а второй призер, имеющий явно неконкурентные для чемпионата Европы результаты?

Тамразян в  принципе поднял свои килограммы. В рывке начал 106 кг, дважды пытался 110. В толчке во втором подходе на 136 кг схватился за бедро - травма и от третьего подхода отказался. Но, даже если бы он справился с этим весом, это мало что изменило бы. Ну, занял бы 8-е место, но это не те достижения, которыми может гордиться российская тяжелая атлетика. 

Чемпионом стал белорусский ветеран Виталий Дербенев. Спортивная фортуна в этот день была полностью на его стороне. Во-первых, его основной соперник Смбат Маргарян из Армении выступал почему-то в слабой группе "Б". Таким образом, Дербенев знал результат соперника и мог спокойно строить свою тактику. Во-вторых, когда белорусский атлет толкнул в последнем подходе победный вес 138 кг, судьи не стали к нему особо придираться. Бросив штангу после сигнала, Дербенев повозмущался на судей, что те долго не давали команду "опустить". Но, ему стоило их, наоборот, поблагодарить, так как толкнув вес, Дербенев мелкими шажками шел вперед и так и не остановился, и не зафиксировался даже на секунду. Если бы на помосте был не хозяин чемпионата, который боролся за золотую медаль, еще неизвестно засчитали бы судьи эту попытку.

Неизвестно почему Смбат Маргарян оказался в слабой группе "Б". Возможно тренера перемудрили с заявочными весами. Однако, это стоило ему золотой медали. Так как в толчке армянский атлет был явно сильнее всех и выступай он в группе "А", мог бы контролировать действия соперников. Но, не беда, у Маргаряна, которому только две недели назад исполнилось 17 лет, еще будут возможности побороться с сильнейшими тет-а-тет.

Бронзовым призером стал прошлогодний чемпион Европы, неувядающий, 35-летний, Том Гогебюер из Бельгии.


Виталий Дербенев и Том Гогебюер

Смбат Маргарян

Юрий Дудогло

Вито Делино

5 апреля 2010г. Чемпионат Европы стартовал с соревнований женщин в категории 48 кг. Среди участниц мы увидели как старых знакомых - олимпийскую чемпионку 2004 года Нуркан Тайлан (Турция), чемпионку Европы Эстефанию Хуан (Испания), итальянку Джени Паглиаро, так и новые имена, такие как Сазия Окюр (Турция), которой недавно исполнилось 18 лет. Конечно, Нуркан Тайлан, которую уже можно по праву называть легендарной спортсменкой, была вне конкуренции. И в рывке, и в толчке она выходила на помост, когда все остальные участницы заканчиввали свое выступление и вела борьбу уже не с соперницами, а только со штангой. Особенно впечатлило выступление Тайлан в толчке. После первого подхода на 108 кг, которые принесли ей очередное звание чемпионки Европы, попросила установить на штангу 118 кг (!) - новый рекорд Европы. И отлично справилась с весом.

Маржена Карпинска из Польши не могла соперничать с Тайлан, но уверенно закрепилась на втором месте. Хорошо выполнила пять подходов и только последняя попытка установления личного рекорда в толчке не удалась.

Очень хорошее впечатление оставила молодая турчанка Сазия Окюр. Ее собственный вес составлял всего лишь 45,74 кг. При этом она четко выполнила все шесть подходов и завоевала бронзовую медаль. Что-ж, у Тайлан уже имеется достойная преемница.


Нуркан Тайлан

Маржена Карпинска

Мишель Анаис

4 апреля 2010г. Давид Ригерт: если ребятам удастся поднять «свои» веса, медали будут. 5 апреля в Минске (Белоруссия) стартует чемпионат Европы по тяжелой атлетике. Перспективы мужской российской команды Агентству спортивной информации «Весь спорт» обрисовал главный тренер, олимпийский чемпион Давид Ригерт.

«Состав команды на этом чемпионате Европы, который я назвал, в принципе можно назвать оптимальным, - заметил Давид Ригерт. – Из тех, кого мы планировали повезти в Минск, но не получилось, могу назвать только чемпиона мира среди юниоров Александра Иванова (до 94 кг) и неоднократного призера чемпионатов мира и Европы Владислава Луканина (до 77 кг). У молодого Иванова случились небольшие проблемы с желудком, и мы решили его пока приберечь. Врачи советуют пару недель не напрягаться, иначе возникнет вероятность язвы. Согласитесь, такую хворь нужно залечить до конца – хотя бы в контексте Олимпиады в Лондоне. А Луканин буквально за пару недель до отъезда в Минск потянул приводящую мышцу пальца. Вроде травма не серьезная, но достаточно болезненная, штангу держать очень сложно чисто физически. Ради чемпионата Европы испытывать такие тяготы особого смысла нет. Вместо него поехал молодой Дима Иваненко – ему как раз надо потихоньку расти. Плюс в весе до 85 кг в этот раз мы решили никого не выставлять – первые номера сейчас еще не готовы или перешли в другие веса, а юниоры пока просто не соответствуют необходимому уровню. Зато впервые за долгие годы выставляем своего человека в легчайшем весе до 56 кг – Арсена Тамразяна. Второй дебютант также будет в весе до 69 кг – это Михаил Габеев. Если у них получится – значит, в сборной появится долгожданное пополнение в не «наших» весах».

Давид Ригерт также обозначил планы сборной России на чемпионат Европы. «Желательно, чтобы общекомандное место было получше – примерно первое (смеется). Конечно, будет тяжело – хозяева соревнований готовятся к домашнему турниру очень серьезно. К тому же их лидеры в основном выступают как раз в «наших» весах. Дом есть дом. Белорусы очень гостеприимны, но себе во вред тоже ничего делать не будут. Собственно, задачу я формулирую так: поднять "свои" веса, показать "свои" результаты на данный момент. Если это удастся, медали будут», - заключил Давид Ригерт.

30 марта 2010г. Утвержден состав мужской сборной России по тяжелой атлетике на чемпионат Европы в Минске Сегодня, 30 марта, исполком Федерации тяжелой атлетики России утвердил состав мужской национальной команды, которая выступит на чемпионате Европы в Минске (Белоруссия) 5-11 апреля. Об этом Агентству спортивной информации «Весь спорт» сообщил главный тренер мужской сборной России, олимпийский чемпион Давид Ригерт.

В состав сборной России вошли восемь человек, который выступят в шести весовых категориях.

Весовая категория до 56 кг. Арсен Тамразян.

До 69 кг. Михаил Габеев.

До 77 кг. Дмитрий Иваненко.

До 94 кг. Хаджимурат Аккаев.

До 105 кг. Дмитрий Клоков, Владимир Сморчков.

Свыше 105 кг. Евгений Чигишев, Евгений Писарев.

29 марта 2010г. Определен состав женской сборной России по тяжелой атлетике на чемпионат Европы в Минске. Тренерский штаб женской сборной России по тяжелой атлетике определил состав команды, которая выступит на чемпионате Европы в Минске (Белоруссия) 5-11 апреля. Об этом Агентству спортивной информации «Весь спорт» сообщил главный тренер женской сборной России Солтан Каракотов.

В состав команды вошли девять человек, но на чемпионате Европы, согласно квоте, выступят только семь. Две спортсменки останутся запасными.

Весовая категория до 58 кг. Марина Шаинова.

До 63 кг. Светлана Царукаева.

До 69 кг. Татьяна Матвеева, Оксана Сливенко.

До 75 кг. Наталья Заболотная, Надежда Евстюхина.

Свыше 75 кг. Татьяна Каширина, Наталья Гагарина, Анастасия Черных.

24 марта 2010г. Новости из французского "легиона". Команда Франции будет выступать на чемпионате Европы без лидеров - Венселаса Дабайя (69 кг) и Бенжамина Хеннекана (85 кг).

На чемпионате Франции, который прошел 6-7 марта с.г. в городе Лангре, Хеннекан показал, что находится в отличной форме: 160+201. Но, буквально на днях травмировал кисть. После обследования на артросканнере, врач обнаружил у Хеннекана сильное воспаление и принял решение снять его с чемпионата.

Венселас Дабайя еще раньше принял решение пропустить чемпионат Европы и сосредоточиться на подготовке к чемпионату мира. Однако, я думаю этот отказ никак не связан с осенним чемпионатом в Анталье. Дабайя всегда выступал на всех чемпионатах Франции, Европы, мира и даже небольших международных турнирах. И показывал стабильно высокие результаты.

Просто в настоящее время Венселас переживает трудные времена в психологическом плане, о чем свидетельствует его шокирующее заявление на чемпионате в Лангре. Там он вырвал в первом подходе 140 кг, затем дважды не справился со 145 кг. В перерыве один из тренеров сборной Самсон Ндика по просьбе комментаторов телеканала "Оранж-ТВ" спросил Дабайю, что он сам думает о своем выступлении в рывке. Дабайя ответил: "Я думаю, что мне пора на пенсию". Обескураженный тренер сборной попытался выправить ситуацию перед телевизионщиками, но Венселас продолжал: "Я все меньше и меньше испытываю положительные эмоции и все больше и больше думаю об уходе из спорта".

Такое заявление не может не вызвать шок во французской тяжелой атлетике, так как с Венселасом Дабайя связывали определенные надежды в связи с тем, что чемпионат мира 2011 года будет проходить во Франции, да и на Олимпиаде в Лондоне ему будет только 31 год.

24 марта 2010г. До чемпионата осталась неделя, а на информационном поле мертвая тишина. Давайте хоть посмотрим, где будут соревнования.

16 марта 2010г. Сегодня наконец обнаружился официальный сайт чемпионата. Что-ж, как говорится, лучше поздно, чем никогда.

15 марта 2010г. Чемпионат Европы, который состоится в Минске через две недели, наверное, войдет в историю как самый засекреченный. До сегодняшнего дня о чемпионате нет никакой инфомации. У самого чемпионата нет официального сайта, а на сайте Европейской федерации красуется лишь приглашение президента Федерации тяжелой атлетики Беларуси. Хорошо хоть "Польская штанга" выдала предварительный список участников. В соответствии с ним получается какой-то странный состав российской сборной:

69 кг - Сергей Петросян, Михаил Гобеев;

77 кг - Дмитрий Иваненко;

94 кг - Андрей Деманов;

105 кг - Роман Константинов, Максим Матвеев;

+105 кг - Евгений Писарев, Давид Каданец.

Скорее всего в окончательном варианте этот состав будет изменен, но остается вопрос - кем и на каком основании сформирована российская команда для участия в чемпионате Европы?

После чемпионата мира в ноябре прошлого года не было никакого всероссийского соревнования, где желающие атлеты могли бы поспорить за путевки в Минск. Значит сборную будут назначать в кабинетах ФТАР. Это неправильно. Отбор должен быть публичным и бесспорным. Провел за пару-тройку месяцев до чемпионата Европы (мира) национальный чемпионат и кто там выиграл - пожалуйте в сборную и готовьтесь. Вот тогда не будет подозрений и обвинений в адрес руководства сборной и ФТАР, а у тяжелоатлетов бескрайней России появится стимул и интерес к национальным чемпионатам.

На главную | На титульную